• 开平市人民政府门户网站
    •   
    • 关注我们:
      • 搜索
    今天是2019年4月11日 星期四欢迎进入开平市教育局政务网!
    Baidu
    map
    您当前的位置:首页 > 开平市教育局政务网 > 政务公开 > 通知公告
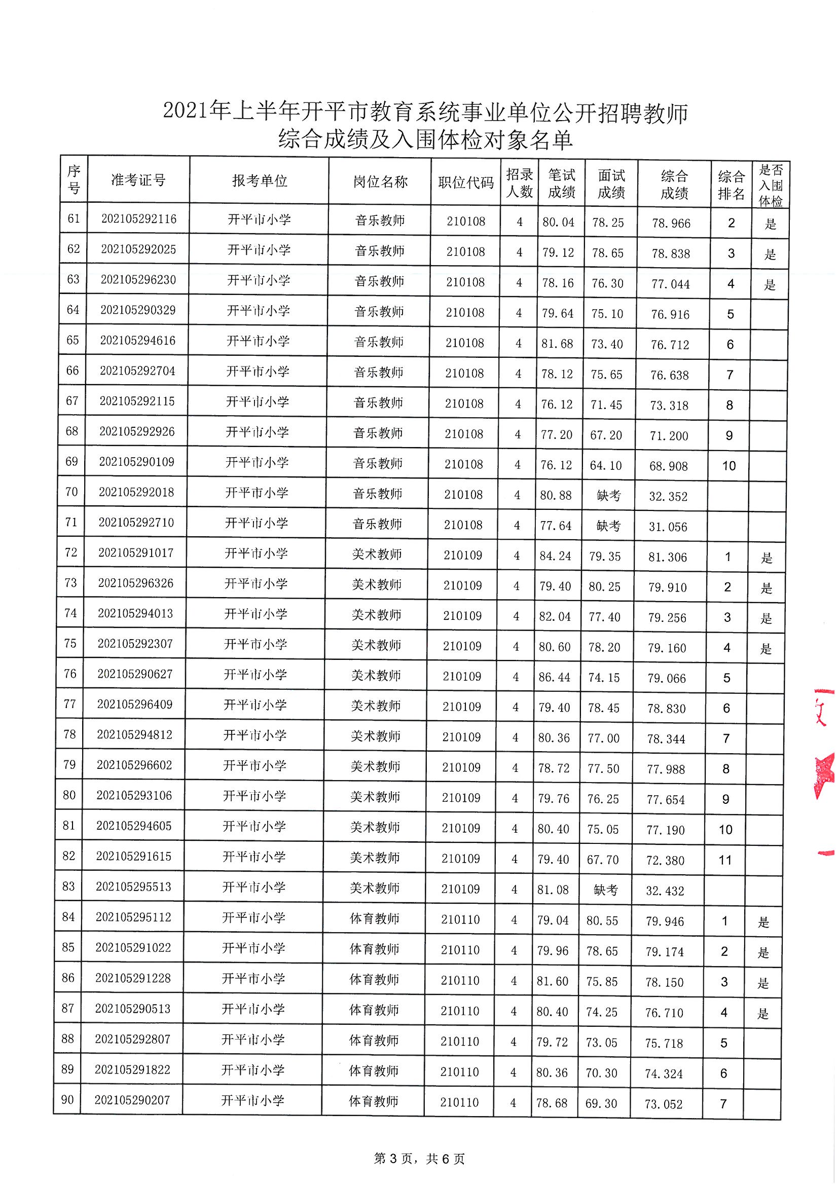
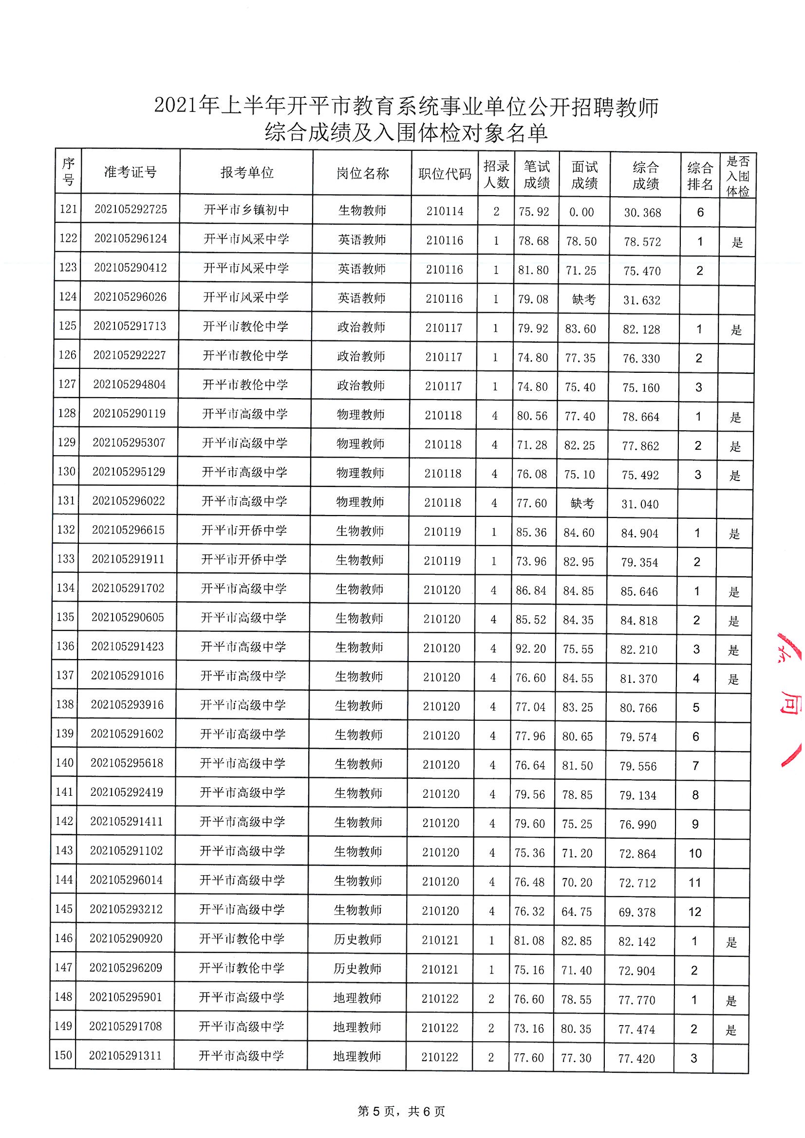
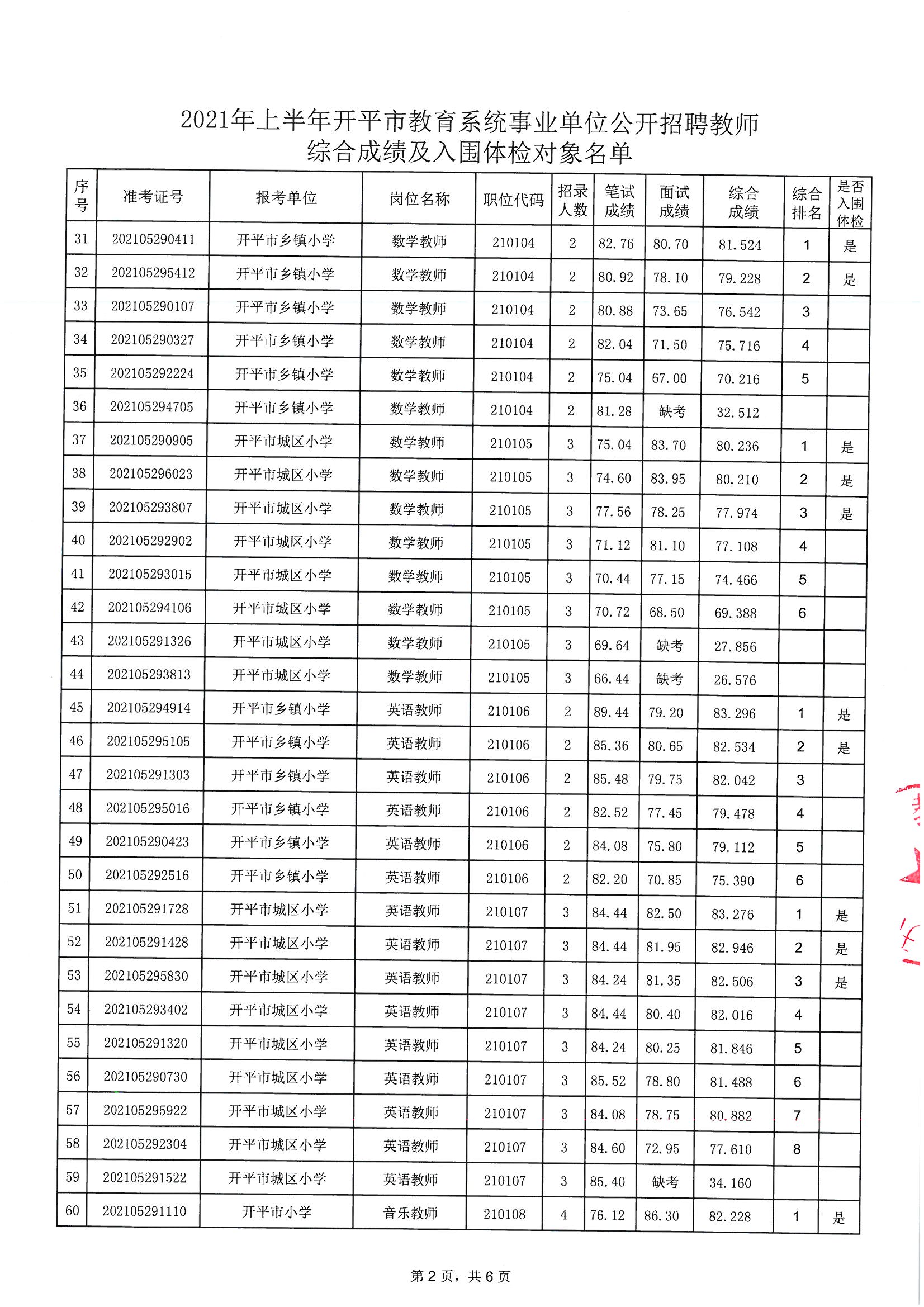
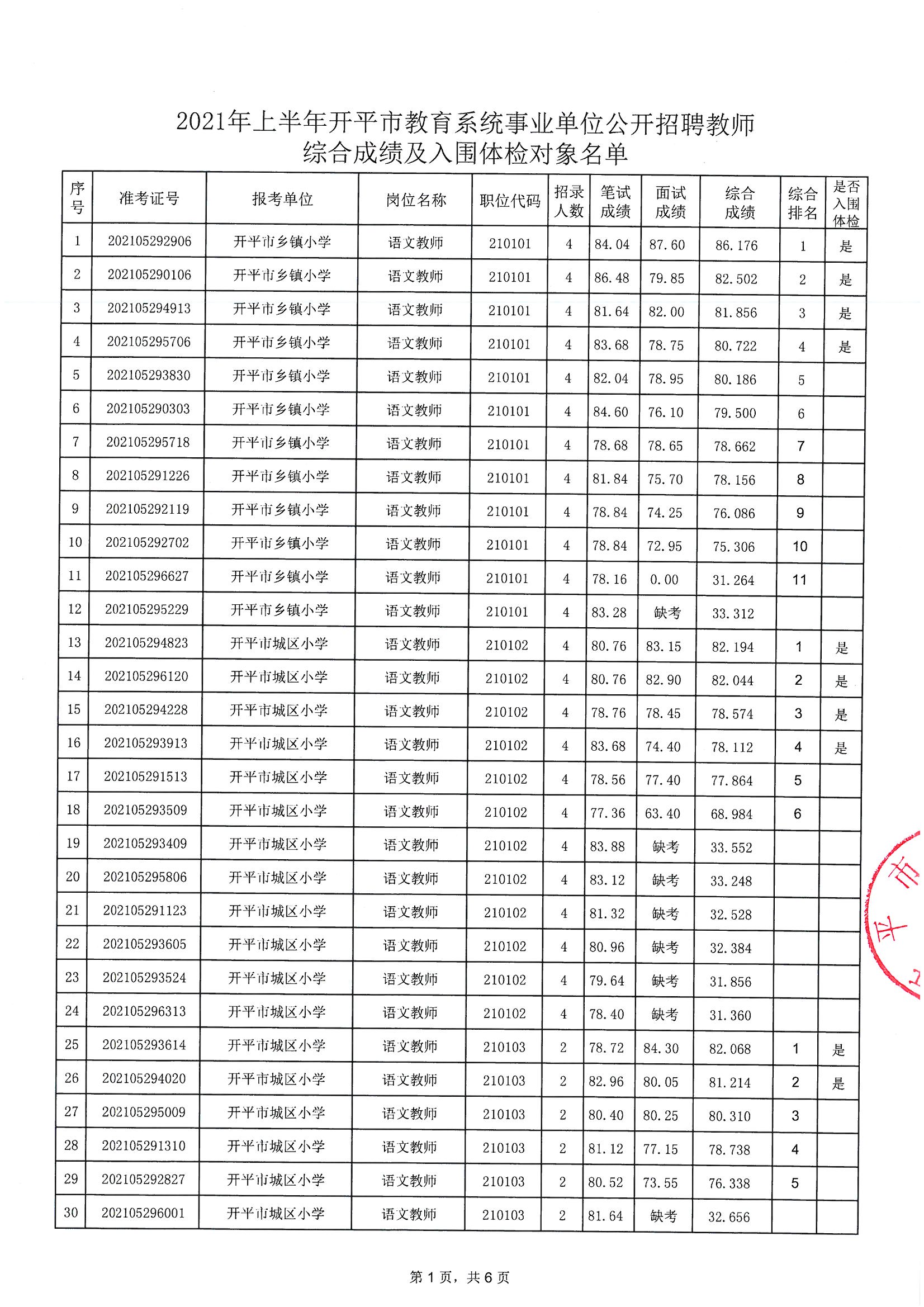
    关于2021年上半年开平市教育系统事业单位公开招聘教师综合成绩及入围体检对象公布的通知
    发布日期:2021-07-29 17:28
    来源:本站
    打印
    【字体:

    1.jpg2.jpg3.jpg4.jpg5.jpg6.jpg7.jpg

    相关附件:

     
    联系我们 网站帮助 网站地图 服务申明
     版权所有:开平市人民政府    主办:开平市人民政府办公室 
    备案编号: 粤ICP备05079694号  网站标识码:4407830003  粤公网安备; 44078302000116
    开平发布政务微博
    开平发布政务微信
    Baidu
    map
    Baidu
    map